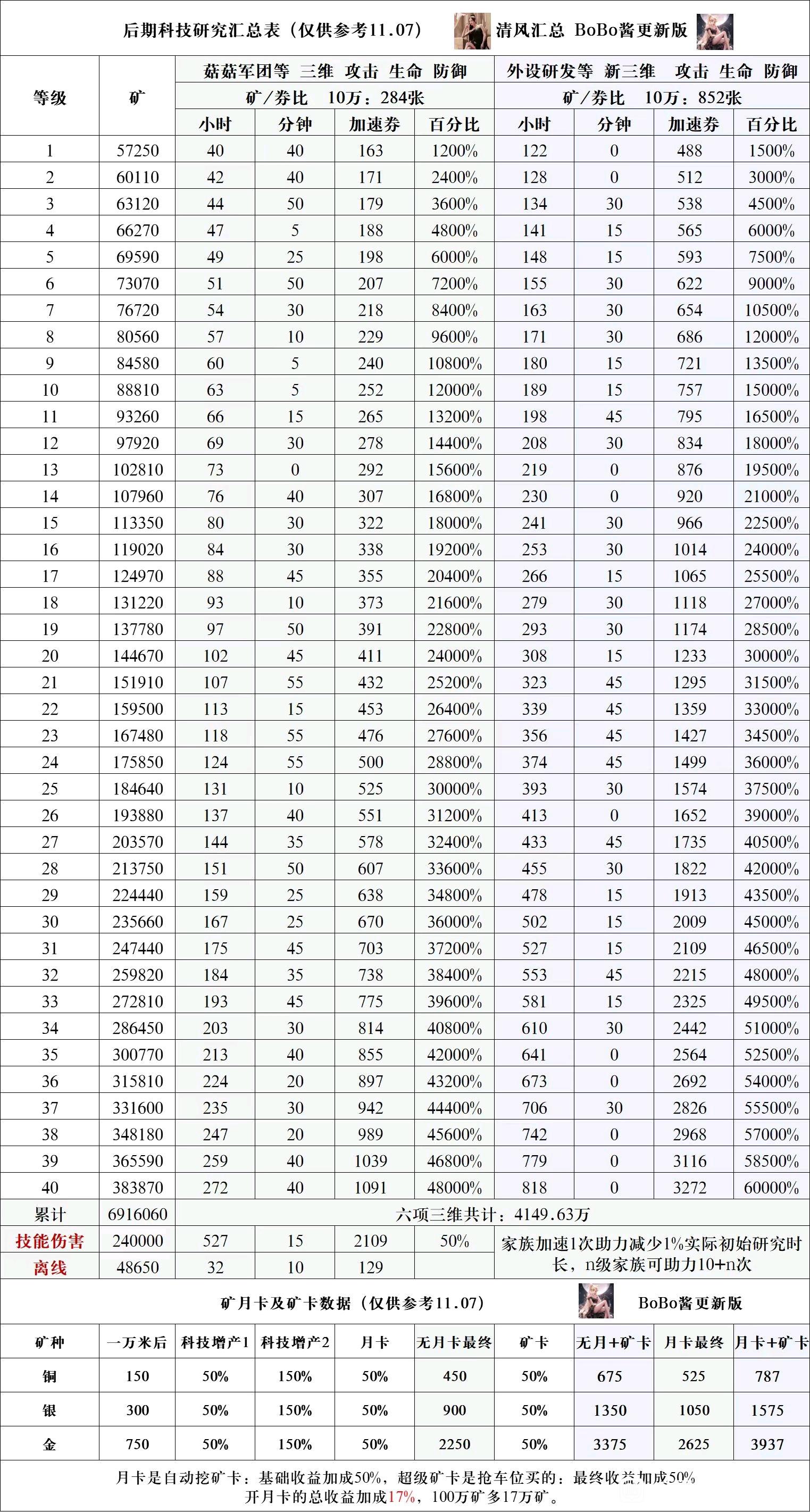
《冒险大作战》的科技研究是很有必要的,我们需要参考的是不同矿藏的发展数据和百分比,我们需要从不同军团增加的属性,主要就是攻击、生命、防御等多种属性,还外设各种研发的,每分钟的生成变化,都是有着严格的数据分析的。
下面是参考之前的表
在《冒险大作战》这款游戏中,科技研究是一个重要的系统,它允许玩家通过投入资源和时间来研究新的科技,以提升角色的能力和解锁新的功能。科技研究系统为玩家提供了丰富多样的科技选项这些科技可以分为攻击、防御、生产和辅助等不同类型,每个科技都拥有不同的效果和提角色能力的方式。
通过选择适合自己角色发展方向的科技,并进行研究和升级,玩家可以提升角色的战力和生产效率更好地应对游中的各种挑战。科技研究需要投入一定的和时间。玩家需要集游戏内的资源,如金币、材料等,用于科技的研究和升级。同时,科技研需要耗费一定的,玩家需要合理安排科技研究的顺序和时间,以达到最佳的效果。科技研究有一个重要的特,就是科技之间的相互关联和解锁条件。某些科技的解锁和研需要先达到一定的前置科技,这就要求玩家在科技研究上有一的规划和策略,以确保能够获得最大的收益和发展空间。
模拟经营 | 4.99MB
2024-11-18
赛车竞速 | 130.99MB
生存冒险 | 39.74MB
飞行射击 | 38.81MB
生存冒险 | 4.99MB
运动健身 | 37.62MB
视频播放 | 25.03MB
学习教育 | 2.08MB
生活购物 | 4.63MB
娱乐趣味 | 24.75MB
《冒险大作战》后期科技研究汇总表
《冒险大作战》的科技研究是很有必要的,我们需要参考的是不同矿藏的发展数据和百分比,我们需要从不同军团增加的属性,主要就是攻击、生命、防御等多种属性,还外设各种研发的,每分钟的生成变化,都是有着严格的数据分析的。
《冒险大作战》后期科技研究汇总表
下面是参考之前的表
在《冒险大作战》这款游戏中,科技研究是一个重要的系统,它允许玩家通过投入资源和时间来研究新的科技,以提升角色的能力和解锁新的功能。科技研究系统为玩家提供了丰富多样的科技选项这些科技可以分为攻击、防御、生产和辅助等不同类型,每个科技都拥有不同的效果和提角色能力的方式。
通过选择适合自己角色发展方向的科技,并进行研究和升级,玩家可以提升角色的战力和生产效率更好地应对游中的各种挑战。科技研究需要投入一定的和时间。玩家需要集游戏内的资源,如金币、材料等,用于科技的研究和升级。同时,科技研需要耗费一定的,玩家需要合理安排科技研究的顺序和时间,以达到最佳的效果。科技研究有一个重要的特,就是科技之间的相互关联和解锁条件。某些科技的解锁和研需要先达到一定的前置科技,这就要求玩家在科技研究上有一的规划和策略,以确保能够获得最大的收益和发展空间。
模拟经营 | 4.99MB
2024-11-18
赛车竞速 | 130.99MB
2024-11-18
生存冒险 | 39.74MB
2024-11-18
飞行射击 | 38.81MB
2024-11-18
生存冒险 | 4.99MB
2024-11-18
运动健身 | 37.62MB
2024-11-18
视频播放 | 25.03MB
2024-11-18
学习教育 | 2.08MB
2024-11-18
生活购物 | 4.63MB
2024-11-18
娱乐趣味 | 24.75MB
2024-11-18